Circular and Elliptical Orbit Geometries.
Satellite orbits follow either circular or elliptical paths based on Keplers' laws of motion. Intrinsic assumptions are that the mass of the satellite is insignificant compared to mass of planet Earth and that there are no other gravitational or secondary disturbances, the only attractor being a perfectly spherical planet Earth.
Low Earth Orbits (LEO) range from 300Km altitude to just a couple of thousand kilometers and are predominantly circular. Geosynchronous Earth Orbits (GSO) are located at an altitude of 35786 kilometers altitude with the special case of Geostationary Earth Orbit (GEO) located at the same altitude but directly above the equator. Both GSO and GEO tend to be circular. Medium Earth Orbits (MEO) range between these two limits and can be circular or elliptical. Transfer orbits between the various levels, eg, GTO (transfer from low earth orbit to GEO) are highly elliptical. Satellite orbits can have a range of inclinations from equatorial to polar.
In all cases to analyse the geometry we take a simple approach of setting the axis to be in the plane of the orbit with Earth at a focal point of the orbit.
Figure 1 : Orbit Definitions.
The point on the ellipse closest to earth is defined as the perigee with a radial distance from earth focus set as Rp. The furthest point is defined as apogee with a radial distance Ra
The semi-major axis (a) is an important measure of the size of the ellipse, along with the distance between center and focus (c) which determines the eccentricity (e = c/a).
The orbit obtained by an particular satellite is determined by its velocity. A balance between the angular momentum and acceleration of the satellite and the gravitational attraction of Earth will cause it to maintain a stable path.
Circular Orbit
For a circular orbit the satellite will maintain a constant velocity whose angular acceleration will exactly match the gravitational acceleration for its altitude. For a given altitude (h) the satellite's radial position to the center of the Earth will be R=h+RE, where RE is the radius of the Earth. At this point the gravitational acceleration due to the earth will be
$$g = {GM}/{R^2}$$where G is the universal gravitational constant and M is the mass of Earth. Typically the value of GM is taken to be 3.986005x1014 m3/s2
The angular acceleration produced by the Earth's attraction will be
$$a = ω^2 R$$ where ω is the angular velocity of the satellite which is related to the satellite velocity (V) as ω = V/R.For a stable circular path the accelerations must be equal so that
$${GM}/{R^2} = g = a = ω^2 R = {V^2}/R $$Thus the required satellite velocity for a stable circular orbit at a given radius will be
$$ V = √{{GM}/R}$$Elliptical Orbit
If the velocity of the satellite at a given altitude doesn't match the above requirement for a circular orbit then the resulting orbit will be elliptical. The velocity will no longer be constant but will change with radius from earth. The motion is still controlled by conservation of angular momentum and acceleration laws. (Kepler's Laws).
Conservation of angular momentum implies that ω m , where m is the mass of the satellite, is constant at all points on the orbit. Taking perigee and apogee points gives the following balance,
$$ m ω = m V_p R_p = m V_a R_a $$$$ {V_p}/{V_a} = {R_a}/{R_p} $$
Conservation of energy implies that the sum of kinetic energy and gravitational potential for the satellite is also conserved along the path. Kinetic energy of the satellite is $ 1/2 m V^2 $, its potential energy in the Earth's gravitational field is $ -mgR = -m{{GM}/R}$. Equating the energy at perigee and apogee points gives,
$$ 1/2 m V_p^2 - m{{GM}/R_p} = 1/2 m V_a^2 - m{{GM}/R_a}$$$$ V_p^2 - V_a^2 = 2GM ( 1/R_p - 1/R_a ) $$
Applying the conservation of angular momentum result gives,
$$V_p^2 - V_p^2( {R_p^2}/{R_a^2} ) = 2GM( 1/R_p - 1/R_a )$$or
$$V_a^2( {R_a^2}/{R_p^2} ) - V_a^2 = 2GM ( 1/R_p - 1/R_a )$$so that
$$V_p = √{2GM( {R_a}/{R_p}) 1/{R_a + R_p}$$or
$$V_a = √{2GM( {R_p}/{R_a}) 1/{R_a + R_p}$$or rearranging for solution of radius gives,
$$R_a = {R_p}/{( {2GM}/{R_p V_p^2} - 1)}$$and
$$R_p = {R_a}/{( {2GM}/{R_a V_a^2} - 1)}$$The eccentricity (e) of the orbit can be calculated as
$$ e = {R_p V_p^2}/{GM} -1 $$Given the conditions at a perigee or apogee, the shape of the orbit can thus be determined accurately.
Period of Orbit.
For a circular orbit the period can be calculated from the constant angular velocity.
For an elliptical orbit the conservation laws allow a mean motion approximation to be applied. Even though the satellite velocity is increasing and decreasing along the orbit, by simulating a circular orbit based on the center of the ellipse, an equivalent period is obtained with the simulated satellite moving at a constant velocity along this mean motion path. The period of the elliptical orbit will be
$$P = {2 π a^{3/2}}/{√ GM}$$Location within an Orbit
Location of the satellite at any point in time within the orbit can be found by use of the mean motion simulation and translation to a true anomaly (ν) (true angular location).

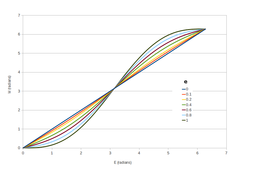
The process for calculating true anomaly (angular position) will be done in three steps. A mean anomaly (M) can be predicted assuming the mean motion path for the satellite. Using the equal angle sweep equations based on Kepler's Laws a relationship between M and eccentric anomaly (E) can be obtained, then using triangular geometry as shown in the above figure true anomaly (ν) can be obtained from E.
The relationship between E and M is
$$ M = E - e \sin(E) $$Unfortunately this is a transcendental function and is not directly invertable, so approximate solutions or iterative solutions are required to find E.
The exact relationship is shown in the following figure.

The geometric relationship between true anomaly and eccentric anomaly
$$ \tan( ν/2 ) = √{{1+e}/{1-e} \tan( E/2)} $$For small eccentricity, the relationship between true anomaly and mean anomaly can be approximated by,
$$ ν = M + 2e \sin(M) + 1.25 e^2 \sin(2M) $$Alternate solutions to find satellite positions will require a numerical approach.
Numerical Integration for Orbit Simulation.

An alternate to the analytical solutions for orbit prediction is a Euler time-stepping integration technique using simple application of Newtons laws. At any instant of time a satellite will experience an acceleration that is due to the sum of all gravitational effects applied to it. If it is assumed that the acceleration is constant for a small time step then changes to the satellites velocity and position can be predicted. By continually updating the position and recalculating the acceleration over many of these small time steps a satellites trajectory can be mapped.
The following solution is based on the application of this method to a simple orbital plane (two dimensional).
At an initial point (x0,y0) the satellite can be assumed to have x-dirn and y-dirn velocity components (u0,v0) and will be subject to accelerations,
$$ a_x = -g \cos(θ)= -g { x_0/R } $$ $$ a_y = -g \sin(θ)= -g { y_0/R } $$where the local gravitational value will be $ g = {GM}/R^2 $.
Over a small time step (Δ t) the change in velocity can be approximated as :
$$ u=u_0 + Δ t.a_x $$ $$ v=v_0 + Δ t.a_y $$The change in position will be :
$$ x = x_0 + u_0 Δ t + 1/2 a_x Δ t^2 $$ $$ y = y_0 + v_0 Δ t + 1/2 a_y Δ t^2 $$The new position can be used as the initial position for the next time step. The acceleration can be recalculated for the new position and another step taken along the track. The process can continue in this mode for as many time steps as is necessary to define a complete track.
A simple MATLAB code is available to demonstrate this method : orbit.m
The advantage of a numerical method is that it is not limited to simple orbits and can include gravitational effects from other objects or perturbations from other mechanisms that may cause acceleration or deceleration of the satellite.
The disadvantage of the numerical method is its dependency on the length of the time step to ensure accuracy. In many cases the time-step will need to be very small to ensure the assumption of constant acceleration is maintained and a desired accuracy of solution achieved. The solution process can thus require a large number of iterations and hence take a long time. Modifications to the constant acceleration Euler integration method are of course quite plausible and may be used to improve solution efficiency.